Walk in Graph Theory-
In graph theory,
- A walk is defined as a finite length alternating sequence of vertices and edges.
- The total number of edges covered in a walk is called as Length of the Walk.
Walk in Graph Theory Example-
Consider the following graph-

In this graph, few examples of walk are-
- a , b , c , e , d (Length = 4)
- d , b , a , c , e , d , e , c (Length = 7)
- e , c , b , a , c , e , d (Length = 6)
Open Walk in Graph Theory-
In graph theory, a walk is called as an Open walk if-
- Length of the walk is greater than zero
- And the vertices at which the walk starts and ends are different.
Closed Walk in Graph Theory-
In graph theory, a walk is called as a Closed walk if-
- Length of the walk is greater than zero
- And the vertices at which the walk starts and ends are same.
NOTE
It is important to note the following points-
|
Path in Graph Theory-
In graph theory, a path is defined as an open walk in which-
- Neither vertices (except possibly the starting and ending vertices) are allowed to repeat.
- Nor edges are allowed to repeat.
Cycle in Graph Theory-
In graph theory, a cycle is defined as a closed walk in which-
- Neither vertices (except possibly the starting and ending vertices) are allowed to repeat.
- Nor edges are allowed to repeat.
OR
In graph theory, a closed path is called as a cycle.
Trail in Graph Theory-
In graph theory, a trail is defined as an open walk in which-
- Vertices may repeat.
- But edges are not allowed to repeat.
Circuit in Graph Theory-
In graph theory, a circuit is defined as a closed walk in which-
- Vertices may repeat.
- But edges are not allowed to repeat.
OR
In graph theory, a closed trail is called as a circuit.
NOTE
It is important to note the following points-
|
Important Chart-
The following chart summarizes the above definitions and is helpful in remembering them-

Also Read- Types of Graphs in Graph Theory
PRACTICE PROBLEMS BASED ON WALK IN GRAPH THEORY-
Problem-01:
Consider the following graph-

Decide which of the following sequences of vertices determine walks.
For those that are walks, decide whether it is a circuit, a path, a cycle or a trail.
- a , b , g , f , c , b
- b , g , f , c , b , g , a
- c , e , f , c
- c , e , f , c , e
- a , b , f , a
- f , d , e , c , b
Solution-
- Trail
- Walk
- Cycle
- Walk
- Not a walk
- Path
Problem-02:
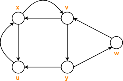
Consider the following graph-

Consider the following sequences of vertices and answer the questions that follow-
- x , v , y , w , v
- x , u , x , u , x
- x , u , v , y , x
- x , v , y , w , v , u , x
- Which of the above given sequences are directed walks?
- What are the lengths of directed walks?
- Which directed walks are also directed paths?
- Which directed walks are also directed cycles?
Solution-
Part-01:
- Only (A) and (B) are the directed walks.
- (C) is not a directed walk since there exists no arc from vertex u to vertex v.
- (D) is not a directed walk since there exists no arc from vertex v to vertex u.
Part-02:
Both the directed walks (A) and (B) have length = 4.
Part-03:
- Neither (A) nor (B) are directed paths.
- This is because vertices repeat in both of them.
- Vertex v repeats in Walk (A) and vertex u repeats in walk (B).
Part-04:
- Neither of them are directed cycles.
- Walk (A) does not represent a directed cycle because its starting and ending vertices are not same.
- Walk (B) does not represent a directed cycle because it repeats vertices/edges.
Problem-03:
Consider the following graph-

Observe the given sequences and predict the nature of walk in each case-
- v1e1v2e2v3e2v2
- v4e7v1e1v2e2v3e3v4e4v5
- v1e1v2e2v3e3v4e4v5
- v1e1v2e2v3e3v4e7v1
- v6e5v5e4v4e3v3e2v2e1v1e7v4e6v6
Solution-
- Open walk
- Trail (Not a path because vertex v4 is repeated)
- Path
- Cycle
- Circuit (Not a cycle because vertex v4 is repeated)
To gain better understanding about Walk in Graph Theory,
Next Article- Graph Coloring
Get more notes and other study material of Graph Theory.
Watch video lectures by visiting our YouTube channel LearnVidFun.