DFA to Regular Expression-
The two popular methods for converting a DFA to its regular expression are-

- Arden’s Method
- State Elimination Method
In this article, we will discuss State Elimination Method.
State Elimination Method-
This method involves the following steps in finding the regular expression for any given DFA-
Step-01:
Thumb RuleThe initial state of the DFA must not have any incoming edge. |
- If there exists any incoming edge to the initial state, then create a new initial state having no incoming edge to it.
Example-

Step-02:
Thumb RuleThere must exist only one final state in the DFA. |
- If there exists multiple final states in the DFA, then convert all the final states into non-final states and create a new single final state.
Example-

Step-03:
Thumb RuleThe final state of the DFA must not have any outgoing edge. |
- If there exists any outgoing edge from the final state, then create a new final state having no outgoing edge from it.
Example-

Step-04:
- Eliminate all the intermediate states one by one.
- These states may be eliminated in any order.
In the end,
- Only an initial state going to the final state will be left.
- The cost of this transition is the required regular expression.
NOTEThe state elimination method can be applied to any finite automata. (NFA, ∈-NFA, DFA etc) |
Also Read- Construction of DFA
PRACTICE PROBLEMS BASED ON CONVERTING DFA TO REGULAR EXPRESSION-
Problem-01:
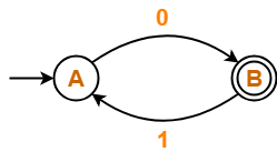
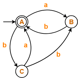
Find regular expression for the following DFA-

Solution-
Step-01:
- Initial state A has an incoming edge.
- So, we create a new initial state qi.
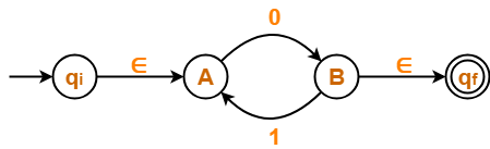
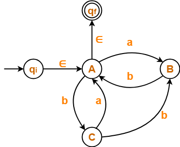
The resulting DFA is-

Step-02:
- Final state B has an outgoing edge.
- So, we create a new final state qf.
The resulting DFA is-

Step-03:
Now, we start eliminating the intermediate states.
First, let us eliminate state A.
- There is a path going from state qi to state B via state A.
- So, after eliminating state A, we put a direct path from state qi to state B having cost ∈.0 = 0
- There is a loop on state B using state A.
- So, after eliminating state A, we put a direct loop on state B having cost 1.0 = 10.
Eliminating state A, we get-

Step-04:
Now, let us eliminate state B.
- There is a path going from state qi to state qf via state B.
- So, after eliminating state B, we put a direct path from state qi to state qf having cost 0.(10)*.∈ = 0(10)*
Eliminating state B, we get-

From here,
| Regular Expression = 0(10)* |
NOTE-
In the above question,
- If we first eliminate state B and then state A, then regular expression would be = (01)*0.
- This is also the same and correct.
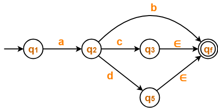
Problem-02:
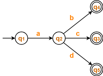
Find regular expression for the following DFA-

Solution-
Step-01:
- There exist multiple final states.
- So, we convert them into a single final state.
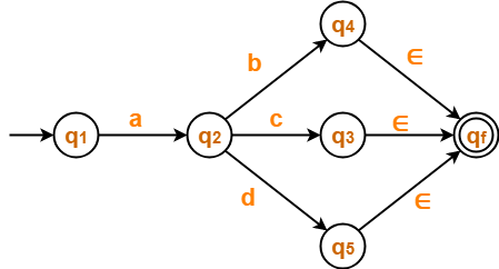
The resulting DFA is-

Step-02:
Now, we start eliminating the intermediate states.
First, let us eliminate state q4.
- There is a path going from state q2 to state qf via state q4.
- So, after eliminating state q4 , we put a direct path from state q2 to state qf having cost b.∈ = b.

Step-03:
Now, let us eliminate state q3.
- There is a path going from state q2 to state qf via state q3.
- So, after eliminating state q3 , we put a direct path from state q2 to state qf having cost c.∈ = c.

Step-04:
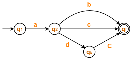
Now, let us eliminate state q5.
- There is a path going from state q2 to state qf via state q5.
- So, after eliminating state q5 , we put a direct path from state q2 to state qf having cost d.∈ = d.

Step-05:
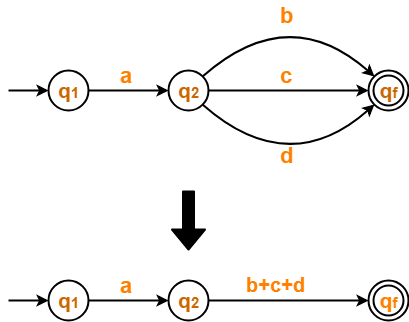
Now, let us eliminate state q2.
- There is a path going from state q1 to state qf via state q2.
- So, after eliminating state q2 , we put a direct path from state q1 to state qf having cost a.(b+c+d).

From here,
| Regular Expression = a(b+c+d) |
Problem-03:
Find regular expression for the following DFA-

Solution-
Step-01:
- Initial state q1 has an incoming edge.
- So, we create a new initial state qi.
The resulting DFA is-

Step-02:
- Final state q2 has an outgoing edge.
- So, we create a new final state qf.
The resulting DFA is-

Step-03:
Now, we start eliminating the intermediate states.
First, let us eliminate state q1.
- There is a path going from state qi to state q2 via state q1 .
- So, after eliminating state q1, we put a direct path from state qi to state q2 having cost ∈.c*.a = c*a
- There is a loop on state q2 using state q1 .
- So, after eliminating state q1 , we put a direct loop on state q2 having cost b.c*.a = bc*a
Eliminating state q1, we get-

Step-04:
Now, let us eliminate state q2.
- There is a path going from state qi to state qf via state q2 .
- So, after eliminating state q2, we put a direct path from state qi to state qf having cost c*a(d+bc*a)*∈ = c*a(d+bc*a)*
Eliminating state q2, we get-

From here,
| Regular Expression = c*a(d+bc*a)* |
Problem-04:
Find regular expression for the following DFA-

Solution-
Step-01:
- State D is a dead state as it does not reach to any final state.
- So, we eliminate state D and its associated edges.
The resulting DFA is-

Step-02:
- Initial state A has an incoming edge (self loop).
- So, we create a new initial state qi.
The resulting DFA is-

Step-03:
- There exist multiple final states.
- So, we convert them into a single final state.
The resulting DFA is-

Step-04:
Now, we start eliminating the intermediate states.
First, let us eliminate state C.
- There is a path going from state B to state qf via state C.
- So, after eliminating state C, we put a direct path from state B to state qf having cost b.b*.∈ = bb*
Eliminating state C, we get-

Step-05:
Now, let us eliminate state B.
- There is a path going from state A to state qf via state B.
- So, after eliminating state B, we put a direct path from state A to state qf having cost a.a*.(bb*+∈) = aa*(bb*+∈)
Eliminating state B, we get-

Step-06:
Now, let us eliminate state A.
- There is a path going from state qi to state qf via state A.
- So, after eliminating state A, we put a direct path from state qi to state qf having cost ∈.b*.(aa*(bb*+∈)+∈) = b*(aa*(bb*+∈)+∈)
Eliminating state A, we get-

From here,
| Regular Expression = b*(aa*(bb*+∈)+∈) |
We know, bb* + ∈ = b*
So, we can also write-
| Regular Expression = b*(aa*b*+∈) |
Problem-05:
Find regular expression for the following DFA-

Solution-
Step-01:
- Since initial state A has an incoming edge, so we create a new initial state qi.
- Since final state A has an outgoing edge, so we create a new final state qf.
The resulting DFA is-

Step-02:
Now, we start eliminating the intermediate states.
First, let us eliminate state B.
- There is a path going from state C to state A via state B.
- So, after eliminating state B, we put a direct path from state C to state A having cost b.b = bb.
- There is a loop on state A using state B.
- So, after eliminating state B, we put a direct loop on state A having cost a.b = ab.
Eliminating state B, we get-

Step-03:
Now, let us eliminate state C.
- There is a loop on state A using state C.
- So, after eliminating state C, we put a direct loop on state A having cost b.(a+bb) = b(a+bb)
Eliminating state C, we get-

Step-04:
Now, let us eliminate state A.
- There is a path going from state qi to state qf via state A.
- So, after eliminating state A, we put a direct path from state qi to state qf having cost ∈.(ab + b(a+bb))*∈ = (ab + b(a+bb))*
Eliminating state A, we get-

From here,
| Regular Expression = (ab + b(a+bb))* |
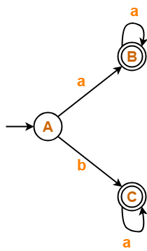
Problem-06:
Find regular expression for the following DFA-

Solution-
- State B is a dead state as it does not reach to the final state.
- So, we eliminate state B and its associated edges.
The resulting DFA is-

From here,
| Regular Expression = a |
Problem-07:
Find regular expression for the following DFA-

Solution-
Step-01:
- There exist multiple final states.
- So, we create a new single final state.
The resulting DFA is-

Step-02:
Now, we start eliminating the intermediate states.
First, let us eliminate state B.
- There is a path going from state A to state qf via state B.
- So, after eliminating state B, we put a direct path from state A to state qf having cost a.a*.∈ = aa*.
Eliminating state B, we get-

Step-03:
Now, let us eliminate state C.
- There is a path going from state A to state qf via state C.
- So, after eliminating state C, we put a direct path from state A to state qf having cost b.a*.∈ = ba*.
Eliminating state C, we get-

From here,
| Regular Expression = aa* + ba* |
Also Read- Minimization of DFA
To gain better understanding about Converting DFA to Regular Expression,
Next Article- Arden’s Theorem
Get more notes and other study material of Theory of Automata and Computation.
Watch video lectures by visiting our YouTube channel LearnVidFun.